Lite fakta om flockning
Flockningsmedel följer en Gausskurva vilket förklaras längre ner och fungerar inte vid överdosering. Enkelt sagt så blir viskositeten på det vatten som ska flockas för hög med för mycket flockningsmedel tillsatt och då kan de små partiklarna inte sjunka igenom utan fastnar i slammet.
Om detta sker och flockuleringen inte fungerar, kan man Ibland behöva tillsätta mer vatten efter att flockningslösningen blandats för att späda ut den ytterligare och möjliggöra korrekt flockulering.
Flockningsmedel är effektivt när borrkaxet innehåller en hög andel vatten. Om borrkaxet däremot är för fast och redan har blivit till slam, fungerar det inte.
Här är ett försök att beskriva ett enkelt sätt för ett borrteam att använda flockningsmedel:
På plats bör följande finnas:
En tank dedikerad för den utspädda moderlösningen av flockningsmedel. När lösningen är färdigblandad ska tanken skyddas mot UV-ljus.En elektrisk mixer.En pump med dubbla slangar för att skapa cirkulation i slutet system.Eventuellt en spiraladapter (”pigtail”) till pumpen för att minska pulseringar och andra påfrestningar på rören.Förutbestämda och tydligt nedskrivna doseringsmängder för:
Mängd vatten i tanken för den utspädda moderlösningen.Mängd flockningsmedel i pulverform som ska lösas i tanken.Mängd utspädd lösning från tanken med moderlösningen som ska hällas i lagringscontainern (oavsett om den är full eller delvis fylld).
Arbetsgång:
Förbered flockningslösningen och kör automatisk blandning i ca 1 timme.När borrningen har startat och containern är fylld med borrkax:
Placera pumpen för att skapa ett slutet cirkulationssystem inne i containern, med slangändarna i motsatta hörn i botten.Se till att slangen som släpper ut kaxet i cirkulationssystemet riktas mot containerväggen, så att flockningsmedlet får en ”stöt” och kan expandera ordentligt.Starta pumpen och låt slammet cirkulera.Tillsätt rätt mängd utspädd flockningslösning nära sugsidan.Kör pumpen i cirka 15 minuter.Stäng av pumpen och låt slammet vila tills flockuleringen syns tydligt.Pumpa ut det klarnade vattnet på toppen.Slammet som blir kvar i botten kan solidifieras med Apromud, eller bara pumpas ut, för att tömma containern.
Detta kan kräva 45–60 minuters paus, om man inte har två containrar (en fylls medan den andra flockuleras).
Tekniken teoretiskt
Flockulering är en process där små partiklar i en vätska (t.ex. lera i vatten) klumpar ihop sig till större aggregat, som kallas flockar.
Detta används inom t.ex. vattenrening, livsmedelsindustrin och kemiteknik. och flockulering skiljer sig från koagulering, där man främst neutraliserar laddningar för att börja bilda aggregat.
Varför bildas flockar:
Små partiklar rör sig slumpmässigt i en så kallad Brownsk rörelse som kan jämföras med de dammkorn som man kan se sväva omkring i luften när man till exempel använder en stark ficklampa.
När de kolliderar kan de “klibba” ihop sig om attraktiva krafter övervinner repellerande krafter som t.ex. elektrostatiskt motstånd.
Små flockar växer till allt större flockar över tid.
Brownsk rörelse (Gaussisk diffusion)
Små partiklar i vätska rör sig slumpmässigt på grund av kollisioner med vätskans molekyler.
Den slumpmässiga rörelsen som kallas Brownsk rörelse kan beskrivas matematiskt med en Gauss-fördelning som visar sannolikheten att partikeln rör sig en viss sträcka x på tiden t i ekvationen:
Partiklarnas förflyttning följer en bellkurva där de flesta partiklar rör sig bara lite och desto färre rör sig mycket.Densitet och sedimentation
När flockar bildas blir de tyngre än enskilda små partiklar, och densiteten spelar en stor roll:
Densitet ρ\r = massa / volymNär flockar växer ökar deras effektiva densitet vilket gör att de sjunker snabbare i vätskan (sedimenterar).
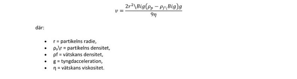
Stokes lag beskriver hastigheten v med vilken en sfärisk partikel sjunker:

Små partiklar eller flockar med låg densitet rör sig mest via Brownsk rörelse, medan stora tunga flockar sjunker snabbt.
Flockulering: kinetik
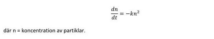
Flockbildning kan beskrivas med Smoluchowski-ekvationer som innebär att kollisionshastigheten k mellan partiklar är proportionell mot deras storlek och diffusionshastighet:

Detta innebär att fler partiklar ger fler kollisioner vilket innebär snabbare flockbildning.Brownsk rörelse driver diffusionskontrollerad flockulering med små partiklar medan gravitation kan dominera för stora flockar.
Sammanfattning
Små partiklar: rör sig slumpmässigt, kolliderar och bildar små flockar.
Stora flockar: sjunker snabbare och kan växa genom fler kollisioner på vägen ner.
Densitet och storlek: styr sedimentationshastigheten.
Brownsk rörelse: avgör hur snabbt små partiklar möts.
Gauss-fördelning: beskriver spridningen av partiklarnas rörelse i vätskan.
